Эксперимент
Н. Ф.
Стародубцева,
МОУ СОШ № 69, г. Воронеж
Натурный эксперимент
1. Принцип работы теплового двигателя
Цель опыта: показать цикличность работы теплового двигателя.
Оборудование: стеклянный медицинский шприц (20 мл), колба (100–150 мл) и хорошо подогнанная к ней резиновая пробка с узким отверстием для наконечника шприца, электрическая плитка (220 В), сосуд с холодной водой, салфетка из ткани.
Ход эксперимента
Этот эксперимент ставлю в течение многих лет, и он всегда вызывает неподдельный интерес учащихся.
Нальём в колбу (из термостойкого стекла!) 50 мл воды, поставим её на электроплитку. Образовавшийся при кипении пар поднимает поршень, совершая работу против силы тяжести поршня, силы трения, силы атмосферного давления.
Процесс расширения рабочего вещества не может быть беспредельным: оно прекращается, как только давление пара станет равным атмосферному.
Для повторного расширения пар необходимо сжать: нажимаем рукой на поршень шприца, прикладывая усилие, и совершаем работу, равную работе расширения.
2. Роль холодильника в тепловых двигателях
Сжатие пара происходит под действием силы атмосферного давления и силы тяжести поршня, если давление более низкое, чем при расширении. С помощью салфетки снимаем колбу и опускаем в сосуд с холодной водой. Поршень опускается на дно шприца. Вновь ставим колбу на электроплитку – процесс расширения повторяется, и поршень опять поднимается.
Холодильник обеспечивает повторяемость превращения внутренней энергии в механическую.
3. Электроёмкость плоского конденсатора
Цель опыта: выяснить зависимость электроёмкости от площади перекрывающейся части пластин конденсатора, расстояния между обкладками конденсатора и диэлектрической проницаемости вещества, находящегося между пластинами конденсатора.
Оборудование: электрометр с шаром, эбонитовая палочка, две алюминиевые пластины (350 × 230 мм) из набора к генератору сантиметровых радиоволн или разборный конденсатор.
Ход эксперимента
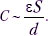
Чтобы провести экспериментальное обоснование формулы плоского конденсатора
(S – площадь перекрытия пластин, d – расстояние между пластинами), упрощаю до минимума установку, предлагаемую в методической литературе.
Одну пластинку кладём на шар заряженного электрометра, вторую держим в руках. Изменяя площадь перекрытия пластин путём горизонтального перемещения одной пластины, наблюдаем за показаниями электрометра. Если уменьшать площадь перекрытия пластин (S↓), показания электрометра увеличиваются (U↑), но мы знаем, что U = q/C, и делаем вывод: ёмкость уменьшается (C↓). Если электроёмкость уменьшилась при уменьшении площади, значит, она пропорциональна площади: C ~ S. И наоборот, при увеличении площади перекрытия пластин (S↑) показания электрометра уменьшаются (U↓), значит, ёмкость возрастает (C↑).
Уменьшаем расстояние между пластинами (d↓) – показания электрометра уменьшаются (U↓), но U = q/C, следовательно, ёмкость увеличивается (C↑). Вывод: электроёмкость обратно пропорциональна расстоянию между пластинами: С ~ 1/d.
Итак, ёмкость
В пространство между пластинами конденсатора вносим пластину (диэлектрическая проницаемость ε). Показания электрометра уменьшаются (U↓), значит, ёмкость конденсатора увеличивается (С↑). Следовательно, ёмкость конденсатора пропорциональна диэлектрической проницаемости: С ~ ε.
Итак,
Чтобы поставить знак равенства, вводят электрическую постоянную:
ε0 = 8,854 · 10–12 Ф/м.
Окончательная формула для электроёмкости имеет вид:
4. Энергия магнитного поля тока
Цель опыта: получение электрический дуги.
Оборудование: две катушки индуктивности по 3600 витков, сердечник от универсального трансформатора, выпрямитель ВУП-2, ключ, провода.
Ход эксперимента
Соединяем катушки последовательно, надеваем их на сердечники трансформатора (если обе катушки не помещаются на сердечниках, то край одной из катушек немного подточим) и подаём постоянное напряжение 250 В от ВУП-2.
Размыкаем ключ и наблюдаем электрическую дугу, возникающую благодаря запасённой в катушке индуктивности энергии магнитного поля тока.
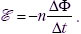
Подаём на катушки напряжение 350 В. После размыкания ключа видна более яркая и продолжительная дуга. Понятно, что с увеличением напряжения увеличивается и сила тока, а значит, и энергия магнитного поля тока, которая определяется индуктивностью катушки и силой тока:
.
Вывод: чтобы при размыкании электрической цепи, включающей катушку (обмотку) большой индуктивности, не возникала дуга, необходимо к рубильникам подключать конденсатор или помещать их в трансформаторное масло.
5. Использование электромагнитной индукции в трансформаторах
Цель опыта: показать, что результирующая ЭДС индукции во вторичной обмотке трансформатора пропорциональна числу витков в ней, т.к. ЭДС отдельных витков складываются (в одинаковых и согласованно направленных витках).
Оборудование: осциллограф, катушка индуктивности (3600 или 2400 витков), сердечник от универсального трансформатора, провод длиной 1,5–2 м.
Ход эксперимента
Катушку индуктивности (2400 витков) надеваем на сердечник и подключаем к источнику переменного тока напряжением 220 В. Провод без витков подключаем к осциллографу к клеммам Y и «земля»
На экране осциллографа видим прямую линию (a).
Наматываем два витка на свободную часть сердечника – на экране осциллографа видим осциллограмму напряжения (б). Наматываем витки на свободную часть сердечника – видим осциллограмму синусоидального напряжения. С увеличением числа витков амплитуда возрастает (в): 
Вывод: изменяя число витков во вторичной катушке трансформатора, получаем увеличение или уменьшение напряжения в цепи. Трансформаторы – приборы для преобразования напряжения.
Нина Фёдоровна Стародубцева – учитель физики, Соросовский учитель, отличник народного просвещения, заслуженный учитель России. Окончила Воронежский ГПИ в 1968 г., имела 1-й разряд по беговым лыжам. Три жарких 40-градусных лета в Казахстане, со студенческим строительным отрядом «Чайка», и три морозных 50-градусных зимы, согретых любовью учеников, – в селе Зырянское Томской области... С ними ходила в походы, проводила вечера поэзии, а чтобы показать на уроке явление фотоэффекта, натирала металлическую пластинку ртутью (!). С 1972 г. – в воронежской школе № 77, с 2000 г. – в школе № 69. Всегда считала эксперимент важнейшим для понимания физики. Ежегодно проводит семинары с учителями города. Хочет, чтобы обе внучки полюбили и знали физику – науку интеллектуально образующую.