Задачи, тесты
А можно и проще…
А можно и проще…
В № 17, 18/2007 приведена серия задач В.Б.Дроздова «Криволинейное равноускоренное движение». Обратимся к задаче 6 (№ 18 с. 39): «Небольшое тело скользит со скоростью…» Мне представляется, что приведено неоправданно сложное, громоздкое решение, а задача решается в одно действие, если вспомнить один известный приём, позволяющий очень легко описывать траектории тела при упругих отражениях от плоской стенки (используется в любом учебнике при построении изображения в плоском зеркале). Вместо того, чтобы рассматривать ломаную траекторию луча в «реальном» бильярде АВСD, мы рассматриваем ряд его «виртуальных копий» (BA'D'C, A'B'C'D' и т.д.), тогда мы получаем на рисунке прямолинейную «виртуальную» траекторию тела, работать с которой очень легко.

Приём легко распространяется и на криволинейную траекторию. Если мы предположим, что наш бильярд наклонён, то эта «виртуальная» траектория, конечно же, представляет собой параболу.

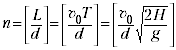
Вернёмся к нашей задаче. Теперь ясно, что падающее тело столько раз стукнется о стенки, сколько раз в горизонтальной проекции траектории L целиком уложится отрезок d, т.е.

(здесь [x] обозначает целую часть x). Вот и всё решение.