О дистанционном курсе А.А.Князева
«Олимпиадный материал в повседневной работе преподавателя физики»
Впечатление эксперта. Вот и завершился цикл лекций А.А.Князева. Слушатели познакомились с интересным материалом, тонкостями и хитростями решений, с удовольствием разобрали трудные и запутанные олимпиадные задачи различного уровня сложности. Переоценить огромную пользу олимпиадных задач в процессе образования нельзя. Процесс их решения, по сути, является подготовкой к дальнейшей серьёзной научной работе учащихся, потому что углубляет понимание физических явлений и учит решать проблемы, кажущиеся на первый взгляд неразрешимыми. Важно, чтобы школьники при решении не пытались вспоминать похожие задачи или параграфы в учебнике, а размышляли над конкретной поставленной задачей и старались применить свои знания для её решения. По результатам проверки работ слушателей этого цикла можно сделать некоторые заключения. Наиболее сложной оказалась контрольная работа № 1 – в неё вошли наиболее типичные для олимпиад задачи.
Немало ошибок было допущено в задаче 1 – о движении тела вдоль прямой с переменной скоростью. Несомненно, решение не может вызвать трудностей, если вы знакомы с высшей математикой. Однако не каждый школьник может похвастаться знаниями интегрального и дифференциального исчислений, так что приходится вводить искусственные приёмы решения, которые полезно освоить.
Превосходна задача 2 – про погоню лисы за зайцем. Вряд ли в школьном учебнике найдётся её разбор. Дело в том, что для ответа нет необходимости искать траекторию движения, например, лисы, что требует знания математического анализа. Можно, конечно, постараться качественно определить её примерный вид для лучшего понимания движения, но не более. Надо отвечать на поставленный вопрос, и именно умение отличать всё самое главное от второстепенного поможет справиться.
В решении олимпиадных задач есть ещё один довольно важный момент. Каким бы очевидным ни казалось недоказанное предположение, его нельзя использовать в решении. Интуиция может подвести, а полученные парадоксальные результаты вызовут недоумение. Ошибки подобного типа и в научной среде частенько приводят к спорам. Так, например, в задаче 2 (9-й класс) – о движении грузов на пружине, расположенной вертикально (контрольная работа 2) – многие считали смещения верхнего и нижнего шариков одинаковыми, что заведомо приводило к неверным результатам.
Довольно трудной оказалась задача 1 (11-й класс) – о пьезозажигалке, требующая для решения всего лишь знаний третьего закона Ньютона и правила рычага. Возможно, она отпугивает своей, на первый взгляд, громоздкостью и запутанностью, так что кажется непонятно, с какой стороны к ней подступиться.
При решении задач недостаточно заботиться только о правильности решения. Необходимо стремиться представить решение в наиболее компактном виде, чтобы чётко прослеживалась вся его логика. Надо понимать, все выкладки должны быть понятны не только их автору, но и всем, кто к ним обратится. А добиться этого можно только с помощью регулярных занятий, которые полезны не только школьникам, но и учителям. К тому же, никому не будет лишним получить новые знания и провести время с пользой.
А.А.ПОДОСИННИКОВА, студентка МФТИ,
г. Долгопрудный, Московская обл.
Немного о концепции курса. Отведённый объём маловат для насыщения курса большим количеством задач. Впрочем, хороших сборников немало. Один из преподавателей новосибирской школы из Академгородка рассказал мне, что сейчас только в этом коллективе накопилось достаточно новых задач, чтобы сделать 2-й том сборника (О.Савченко). Однако необходимости в его издании практически нет – задач вполне достаточно. Каждая новая олимпиада – это два десятка задач, считай, около сотни сложных задач за год. Среди них есть и хорошие, и очень полезные. Да и сложность их нарастает существенно, поэтому куда важнее осмыслить даже не методики (их довольно), а уровень преподавания как отдельных тем, так и их взаимодействия. К сожалению, сейчас в моде схемы и тетради, где нужно заполнять клеточки и ни о чём не думать. На днях встретился с учительницей из Москвы – она показала мне свои методики, от которых я пришёл в ужас – сплошные схемы: для задачи о скатывании тела с наклонной плоскости нужно запомнить десяток формул на все случаи, и для электростатики, и для фотоэффекта. И так целые листы проецируются на экран по всем темам. Впрочем, некоторые любят, когда все предельно конкретно, но тогда и задачи решают только такие – стандартизованные. Я не против методик вообще – они просто необходимы инженеру, если приходится решать один и тот же класс задач. А для школы важен культурный кругозор, развитие проницательности, креативности (модное словечко). И не только для физматклассов. Наборы формул и заучивание правил не нужно никому. Любой заскорузлый коллектив «раскачивается» и заинтересовывается, когда сначала демонстрируешь, а затем и предлагаешь попробовать задачи именно олимпиадной тематики – пусть только фрагментами, и самые простые (про мокрую муху, пролитое молоко, про шаровую молнию, про «Мерседес», набирающий скорость на плохой дороге, про электромагнитное поле в комнате, да мало ли их…). Задачи должны быть интересными и решаемыми. Конечно, сначала без всяких схем – на обобщения, на определения можно обратить внимание только когда произошел «захват», когда уже смотрят тебе в рот, и уже хотят ещё. Ну, результат, конечно – каждому по труду. Зато впечатления остаются только положительные. Говоря словами Паскаля, именно это и «остаётся, когда все выученное забыто». Вот об этом и мой курс. Об этом и задачи.
А.А.КНЯЗЕВ, г. Саратов
Контрольная работа 1
Дистанционный курс А.А.Князева, 2006 г.
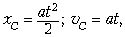
Задача 1 [Соросовская олимпиада III, 1996/97 гг., тур I, класс 10, задача 1].
Вдоль прямой движется тело, его
скорость возрастает по мере удаления от начала
координат – она пропорциональна квадрату этого
расстояния. В точке с координатой x = 5 м
скорость
= 2 м/с.
Найдите ускорение тела в этой точке. Как
изменится это ускорение при увеличении
координаты в 3 раза?
Вариант решения. Приём решения
таких задач показан в лекции 2. По условию,
=
x2, причём коэффициент
пропорциональности определяется по известным
данным:
Далее
произведём преобразования:
.
При умении вычислять производную (по таблицам или по общему алгоритму вычисления предела отношения) получаем
![]()
и, подставляя числовые данные, находим
= 1,6 м/с2. При
увеличении координаты в 3 раза ускорение
увеличится в 27 раз.
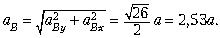
Задача 2 [Соросовская олимпиада I, 1994/95 гг., тур I, класс 10, задача 3].
Заяц бежит по прямой с постоянной скоростью 10 м/с. Скорость лисы составляет 20 м/с, лиса в каждый момент времени бежит точно в ту точку, где находится заяц (это не самый разумный для лисы вариант, но она ничего в кинематике не понимает). В начальный момент расстояние между лисой и зайцем составляет 300 м, направление движения зайца перпендикулярно отрезку, который в этот момент соединяет его с лисой. Через какое время лиса его догонит? Через какое время она смогла бы догнать зайца, если бы бежала наилучшим образом?
Примечание. Погоня в природе осуществляется именно этим оптимальным способом. Кто знает, что вытворит заяц, если выпустить его из виду и бежать в заранее рассчитанную точку? Той же стратегии придерживаются и современные самонаводящиеся ракеты-перехватчики. Их разработка привела математику конца XX в. к революции – к возникновению нечёткой логики.
Вариант решения.

Сложная для школьников задача – на таких осуществляют подготовку к олимпиадам высокого уровня. Тем не менее она очень эффектна и эффективна при демонстрации в теме криволинейного движения. В этой задаче, по крайней мере в школьном варианте, отсутствует способ записи и формализованного решения системы уравнений кинематики, для этого необходимо владение методами дифференциальной геометрии. Следовательно, остаётся эвристика, но и её можно направить в русло логических рассуждений.
Определим сначала кратчайшее время.
Очевидно, что условием того, что лиса догонит
зайца при движении по прямой ОЕ является
равенство скоростей вдоль оси движения зайца
(в нашем случае
отсюда следует
и
равенство времён движения зайца и лисы:
.
В данной задаче второе условие удобнее, сразу получаем
= 17,3 с.
Использование первого условия приводит к тому же результату:
= 17,3 с.
Для получения же основного решения
первое условие оказывается плодотворнее, только
записывать его нужно для движения в отдельные
интервалы времени
t:
(1)
Однако одно это условие не даёт результата, поскольку угол направления движения лисы постоянно изменяется. Необходимо ещё одно условие, которым может явиться выражение, описывающее расстояние между зайцем и лисой на каждом отрезке времени:
![]()
В момент, когда лиса догонит зайца, получаем:
(2)
Теперь в выражениях (1), (2) можно
исключить сумму
и найти время: t = 20 с.
Как видно из структуры полученного
решения, при u <
преследование не даёт результата ни при
какой стратегии.
Задача 3 [Соросовская олимпиада IV, 1997/98 гг., тур III, класс 9, задача 1].
Из четырёх одинаковых тонких стержней
длиной L каждый сделали ромб, скрепив их
концы шарнирно. Шарнир А закреплён,
противоположный шарнир C двигают вдоль
диагонали ромба с постоянным ускорением а.
Вначале упомянутые противоположные вершины
находятся близко друг к другу, а скорость точки С
в этот момент равна нулю. Какое ускорение будет
иметь шарнир В в тот момент, когда стержни
образуют квадрат? Считайте движение всех точек
плоским.
Примечание. Этот важный материал – движение со связями – общеобразовательная школа обходит стороной, поэтому школьники, владеющие «секретным оружием» – теоремой о скоростях жёсткой фигуры – имеют серьёзное преимущество на олимпиадах.
Вариант решения. Сложная задача для 9-го класса, особенно для третьего тура. Есть ли алгоритм решения подобных задач? Внимательно разбираясь в устройстве механизма, можно подметить множество закономерностей, которые выражаются соотношениями между физическими величинами – скоростями и ускорениями. При этом задача решается «сама собой», как постепенное распутывание клубка, – это очень хороший приём. При этом важно не попадаться в ловушки гипотез (пишите только то, что очевидно, так учил ещё Ньютон: «Гипотез не измышляю»). Без них тоже нельзя, но тогда нужны теоремы. Здесь это теорема о скоростях точек плоской фигуры.
Удобно начать с координат и скоростей точек B и C. Так, по условию задачи, точка С движется равноускоренно, значит:
(3)
причём в интересующей нас позиции
шарнира
.
Точка B имеет вдвое меньшую координату
х, а её скорость связана со скоростью точки С
условием принадлежности обеих точек жёсткому
стержню BC: проекции скоростей точек плоской
фигуры на ось, проходящую через эти точки, равны
(вот она, эта теорема, вернее, часть её!). Значит, ![]()
Используя предыдущие записи, получаем
для значения скорости точки B в интересующей
нас позиции: ![]()
Обратимся к ускорениям. Поскольку
точка B движется по окружности, то она имеет
не равную нулю нормальную компоненту ускорения:
. Отсюда следует,
вообще говоря, не очевидный факт, что направление
искомого ускорения aB этой
точки не совпадает с направлением тяги BC (в
эту ловушку легко попасть, если пренебречь
графическим анализом ситуации). Теперь удобно
рассмотреть компоненты этого вектора.
С использованием соотношения (3) получим
![]()
откуда следует, что
. Определим аВy из
выражения для нормального ускорения: ![]()
В итоге имеем для модуля искомого ускорения:
![]()
Направление вектора тоже нетрудно
определить: угол между кулисой АВ и вектором
ускорения aB равен
57°.
В Соросовских олимпиадах подобных задач несколько. В конечном счёте можно научиться их решать. Другое дело, что все они довольно громоздки и больше подходят для вполне взрослого курса теоретической механики, нежели для олимпиады школьников. Впрочем, в спокойной ситуации кружкового занятия они, безусловно, интересны. Как и многое другое.
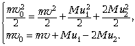
Задача 4 [Соросовская олимпиада VII, 2000 г., тур I, класс 10, задача 3].
На гладкий горизонтальный стержень
насажены грузы, массы которых равны 1 кг и 2 кг.
Между ними
находится лёгкий груз массой 0,01 кг, который
движется со скоростью 1 м/с в сторону тяжёлого
груза. Считая все удары абсолютно упругими,
найдите скорость лёгкого груза через большой
интервал времени. Трения нет.
Примечание. Тема этой задачи встречается в разных сборниках (например, в задачах 2.5.5 и 2.5.9. в «Задачах по физике» под ред. О.Я.Савченко. – М.: Наука, Гл. ред. ФМЛ, 1998).
Вариант решения. При каждом соударении силы взаимодействия уменьшают импульс бусинки и увеличивают импульсы шаров. Запишем теоремы сохранения кинетической энергии и импульса для системы шаров в целом:

Когда в очередной раз бусинка не
сможет догнать шар массой M, столкновения
прекратятся. При этом скорости шара и бусинки
будут примерно одинаковыми:
= u1. Для упрощения
расчётов учтём, что m
M. Тогда из второго уравнения получаем
а из первого ![]()
Упрощения можно не делать и довести до конца всю цепочку вычислений – после решения квадратного уравнения и подстановке численных значений результат будет тем же.
Задача 5 [Соросовская олимпиада VII, 2000 г., тур I, класс 10, задача 4].
Длинная, тонкая и гибкая верёвка
движется вдоль горизонтальной прямой с
постоянной скоростью u.
В некоторый момент передний конец
верёвки «заворачивают» и начинают тащить
параллельно указанной прямой в противоположную
сторону со скоростью
. С какой силой приходится тащить? Длина
верёвки L, масса М. Трения между
верёвкой и плоскостью нет.
Вариант решения.
Пока вся верёвка не развернётся, нужна
сила для изменения импульса. Рассмотрим два
состояния системы, разделённые промежутком
времени
t:
– импульс в начале промежутка:
![]()
– импульс в конце промежутка:
![]()
Определим силу:
![]()
В последнем преобразовании учтено, что
![]()
Этот приём решения задач – детальное рассмотрение процесса – очень эффективен для случаев с непрерывным изменением состояния, особенно в младших и средних классах с углублённым изучением предметов. По сути, это составление и решение дифференциального уравнения без объявления названия процедуры.
Окончание следует